2026 Ironman Shoot Results
2026 Ironman Target Scores
2026 Ironman Target Scores
2026 Ironman Target Scores
2026 Ironman Target Scores
2026 Ironman Target Scores
2026 Ironman Target Scores
2026 Ironman 3D Results
2026 Ironman 3D Results
2026 Ironman 3D Results
2026 Ironman 3D Results
2026 Ironman 3D Results
2026 Ironman 3D Results
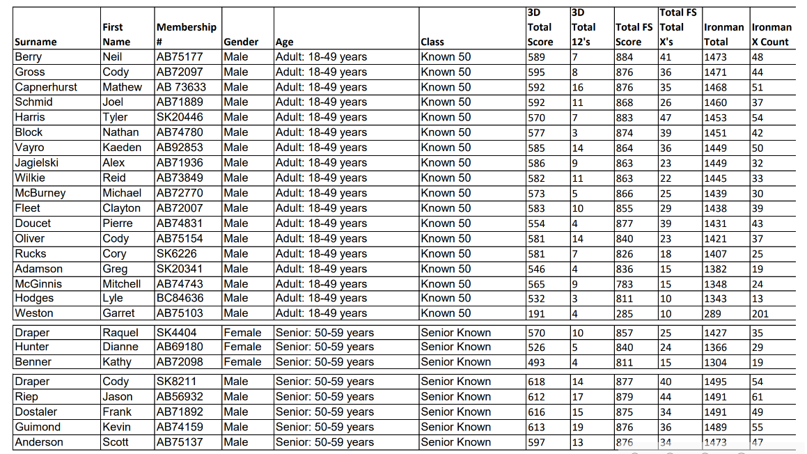
2026 Ironman Results Before Shoot Offs
2026 Ironman Results Before Shoot Offs
2026 Ironman Results Before Shoot Offs
2026 Ironman Results Before Shoot Offs
2026 Ironman Results Before Shoot Offs
2026 Ironman Results Before Shoot Offs
2026 Ironman Results Before Shoot Offs
2026 Ironman Shoot Off Results
2026 Ironman Shoot Off Results
2026-3D Provincial Results
2026-3D Provincial Results
2026-3D Provincial Results